LA-ICP-MS分析揭示商代铜产品微量元素的高波动性特征
时间: 2025-07-15 点击: 次
来源: 作者:
微量元素分析是铜物料溯源研究的常用方法,但其适用性取决于不同产源间微量元素特征的差异度以及单一产源微量元素特征的一致性。现有研究多集中于观察铜器微量元素数据的聚类特征,少从生产端考察单一遗址出产铜器微量元素特征的波动范围。本研究基于激光剥蚀电感耦合等离子体质谱(LA-ICP-MS)技术,确定了测定铜金属颗粒微量元素的最佳参数和校准方法,测定了江西瑞昌铜岭遗址出土的商代硫化矿冶炼渣和氧化矿冶炼渣中铜颗粒的微量元素,揭示了同一冶炼遗址输出铜产品可能具有高度波动的微量元素特征。进一步将该结果与盘龙城遗址出土青铜器的微量元素数据进行对比分析,发现两地的微量元素散点图有显著重叠区域,表明盘龙城青铜器微量元素显示出的较大波动,可能与单个冶炼遗址内部铜产品微量元素的波动有关。这一研究为利用微量元素进行铜料溯源研究提供了全新的分析视角。近期该研究成果已发表于国际著名考古期刊Archaeometry。
1.铜物料溯源研究方法及问题
对青铜器金属物料来源的探索,可提供古代先民开发、利用自然资源的宝贵资料,还能反映古代青铜矿料的传播路线,为探讨古代社会不同地域和人群之间的文化交流、贸易往来、交通运输,以及生产组织、社会结构等多方面、深层次的问题奠定基础。目前学界使用的主流溯源指标包括微量元素、铅同位素和各类非传统金属稳定同位素等,其中微量元素分析已成为追溯铜物料来源的主要手段。目前学界对青铜器微量元素数据的解读已经展开深入探讨,但关于单个铜物源内部微量元素自然波动的基础信息仍然匮乏。地质文献虽积累了大量矿石和铜矿物的微量元素数据,但模拟实验显示冶炼过程可能会改变铜料的微量元素组成,导致地质数据与冶金产品数据间的差异。这种信息的缺乏,使得难以在器物数据中划定不同产源的有效边界。因此亟需对原始铜物料微量元素的特征进行分析。由于铜产品在考古遗址中的发现数量极少,本研究以炉渣中嵌存的铜颗粒作为铜产品的替代分析样本,采用LA-ICP-MS原位微区分析技术,测定了铜颗粒的微量元素组成,确定单个冶炼遗址输出铜产品的微量元素特征。
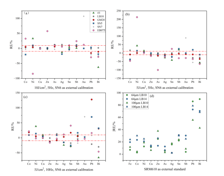
2.LA-ICP-MS分析铜基样品方法的建立
冶炼渣中的铜颗粒样品尺寸较小,难以手动剥离进行测定。LA-ICP-MS凭借其微区与原位分析的特点,为解决这一技术难题提供了方案。该方法利用激光激发固体样品表面产生细小的气溶胶,在载气作用下被导入ICP-MS,进而进行定性和定量分析。Dussubieux及其合作团队已系统评估了LA-ICP-MS技术在铜及铜合金分析中的应用潜力,他们指出虽然LA-ICP-MS总体适用,但需要配备基质匹配、元素含量梯度适宜的标准参考物质。此外,调节LA-ICP-MS的激光能量密度、剥蚀频率、束斑直径等参数可以优化测试数据质量。本研究分别从标准样品选择、激光器参数、校准方法三个方面进行对比测试,建立了适用于冶炼渣中铜颗粒的原位微量元素分析方法,最终确定激光器的最佳参数组合,能量密度为10 J/cm²、频率为5 Hz、光斑为64 μm,校准方法为无内标、CHARM SN6单外标。
图1 不同激光器条件的测试结果
图2不同外标的校准结果
图3有无内标的校准结果
3.商代铜冶炼遗址的产品微量元素特征
江西瑞昌铜岭遗址为长江中游地区重要的商代早中期采矿、冶炼遗址,被认为是商文化核心区的重要铜料来源。前期研究结果显示该遗址同时使用氧化矿和硫化矿冶炼,形成A类(硫化矿)和B类(氧化矿)冶炼渣。本研究使用LA-ICP-MS分析了3件A类冶炼渣和6件B类冶炼渣中的铜颗粒。
图4(a)遗址地理位置示意图,(b)冶炼渣照片,(c)冶炼渣背散射电子照片
结果显示,这些铜颗粒的Pb含量普遍低于100 ppm,导致其铅同位素特征易被合金元素掩盖。铜颗粒中As、Ni的含量较高,平均值分别为1269 ppm和 262 ppm,其余元素的含量相对较低。此外,部分元素含量的波动范围较大,其中As含量在87-3612 ppm之间,Sb在2-193 ppm之间,Co在1-660 ppm之间。这一结果表明,单个遗址输出的铜产品可能具有极大的微量元素含量差异。值得注意的是,两类矿石冶炼所得铜产品在成分上存在系统性差异。硫化矿冶炼渣(A类)中铜颗粒的Au、Ag、Pb、Bi含量显著高于氧化矿冶炼渣(B类)中的铜颗粒,A类冶炼渣中铜颗粒的Ag含量高于35 ppm,Au含量高于0.2 ppm,Pb和Bi含量普遍高于10 ppm,而B类冶炼渣中铜颗粒的Ag、Pb、Bi含量普遍低于15 ppm,Au含量普遍低于0.2 ppm。同时,A类冶炼渣中铜颗粒的Co和Ni含量则显著偏低,Co含量普遍低于10 ppm,Ni含量普遍低于300 ppm,B类冶炼渣中铜颗粒的Co含量大多高于10 ppm,Ni含量大多高于200 ppm。这一结果说明,当矿冶工匠选择不同类型的矿石进行冶炼时,其产品的微量元素组合和含量存在显著差异。造成这一结果的原因与矿物表生淋滤作用中元素溶解度与迁移行为的差异有关,部分环境中的元素可能因表生作用富集进入氧化铜矿物中。部分B类冶炼渣中铜颗粒与A类冶炼渣中铜颗粒存在重叠,这种重叠可能源于冶炼条件的不稳定性及铜矿本身的自然差异。
图6 铜颗粒测试结果。绿色为硫化矿冶炼渣铜颗粒,紫色为氧化矿冶炼渣铜颗粒
盘龙城是二里岗期商人南向扩张时形成的一个重要据点,是汉水以东地区商文化的区域中心,与中原王朝控制长江中游地区直接相关。多位学者认为这一据点的出现可能与商人经略长江中下游铜矿带有关。尽管盘龙城青铜器的铜料来源通常被认为与铜岭遗址密切相关,但其铅同位素比值数据与铜岭矿石及炉渣并未呈现良好对应。已有学者指出,这种矛盾源于合金化过程中添加的铅料掩盖了铜岭遗址铜料的铅同位素特征。因此微量元素成为揭示该铜源流通网络的关键指标。
基于铜岭遗址铜颗粒的分析,本研究重新审视了盘龙城遗址青铜器的微量元素分析数据。结果显示,绝大多数盘龙城青铜器的As、Sb含量均落在铜岭铜颗粒范围内,特别是铜岭的高As铜颗粒与盘龙城高As青铜器形成良好对应。Co元素含量分布也呈现高度一致性。这表明盘龙城青铜器中As、Sb、Co含量的波动可能仅反映了单个冶炼地点铜产品微量元素的自然波动。铜岭铜颗粒与盘龙城青铜器在Ni、Ag、Au等其他微量元素上仍呈现系统性差异,这可能表明添加铅、锡等合金元素也引入了部分微量元素。学界普遍认为,若Ag与Pb无强相关性,Ag更可能源自铜料。以铜岭铜颗粒的Ag含量为基准(普遍低于100 ppm),盘龙城青铜器的高Ag含量(通常超过500 ppm,部分在1000 ppm以上)更可能源自添加的铅料。此外,我们目前仍无法确定铜岭是否为盘龙城唯一铜源,其他铜源的混合也可能导致Ni、Ag、Au含量的变化。要解决这些问题,需系统获取冶炼遗址和铸造作坊炉渣中金属颗粒的微量元素数据,在全面掌握不同铜、锡、铅料微量元素特征的基础上,最终建立基于微量元素的青铜器物料来源判别方法。
图7 铜岭铜颗粒和盘龙城青铜器微量元素对比图
4.结论
本研究通过系统测试不同激光剥蚀参数与校准策略,确定了铜基样品LA-ICP-MS分析的最佳条件。将此方法应用于铜岭遗址冶炼渣中铜颗粒的分析,结果显示其As、Ag、Ni含量较高,而Co、Sn、Sb、Au、Bi等元素含量较低,各元素的波动范围可跨越多个数量级。不同类型矿石冶炼所得铜物料具有系统性的微量元素特征差异。通过铜岭铜颗粒与盘龙城青铜器的数据比对,发现盘龙城青铜器的微量元素波动范围与铜岭遗址相似,通过As、Sb等元素的含量差异划定不同物料产源时应该谨慎。今后研究中需要通过LA-ICP-MS技术对更多冶金遗址炉渣中的铜颗粒开展系统分析,为建立基于微量元素特征的铜物料来源判别方法奠定科学基础。
文章信息:
Lin, J., Liu, S., Zou, G., & Cui, T. (2025). Unveiling diverse copper trace element profiles from a single smelting site through laser ablation–inductively coupled plasma–mass spectrometric analysis. Archaeometry, 1-20. https://doi.org/10.1111/arcm.13077
文章链接:
https://onlinelibrary.wiley.com/doi/10.1111/arcm.13077
作者简介:
林俊伶,北京科技大学科技史与文化遗产研究院,博士研究生
刘思然,北京科技大学科技史与文化遗产研究院,教授
邹桂森,广西民族大学科技史与科技文化研究院,副教授
崔涛,江西省文物考古研究院,副研究馆员
